軸承支架型螺杆泵-立式螺杆泵-江蘇香蕉视频网站泵業
產品簡介
連續低脈動輸送,不受壓力(lì)與粘度波動影響;
輸送量與轉速成正比,在(zài)整個轉速範圍內均能高精度(dù)計量;
高壓(yā)無閥輸送(sòng);
機械密封直接位於泵腔入口下方,無需外部衝洗密封。
產品詳情(qíng)
產品特(tè)點
連續低脈動輸送(sòng),不受壓力與粘度波動影響;
輸送量與轉速(sù)成正比,在整個轉(zhuǎn)速範圍內均能高(gāo)精度(dù)計量;
高壓無閥輸送;
機械密封直接位於泵腔入口下方,無需(xū)外部衝(chōng)洗密封。
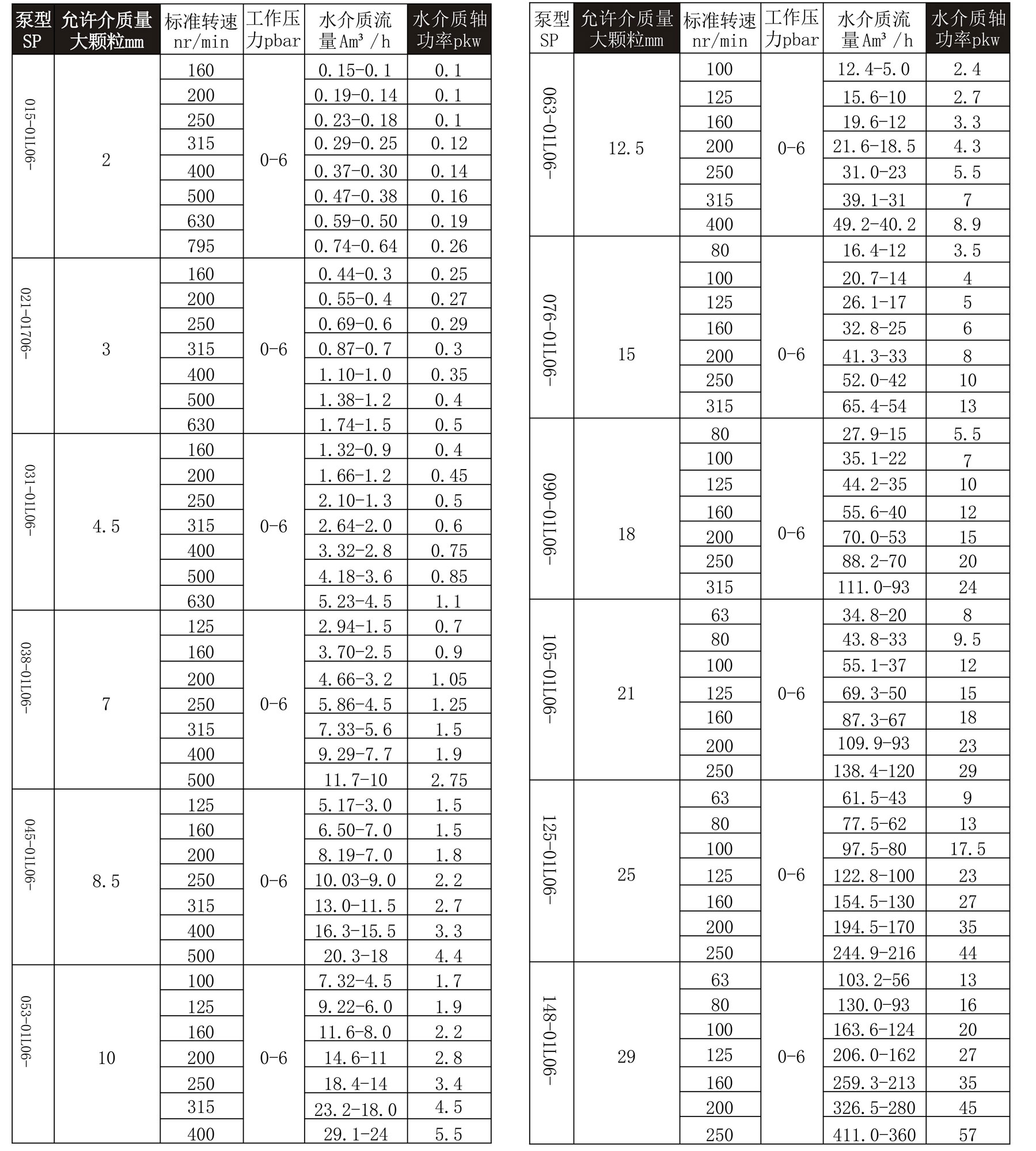
型號參數
性(xìng)能參數用於:G型係列,NM型係列,BN型係列,C型係列等,具體選型可聯係工程師



碳化矽(guī)泵-耐腐耐(nài)磨(mó)泵
陶(táo)瓷泵-耐酸耐堿泵
FXU係列工程塑(sù)料旋流泵(bèng)